农业大数据学报 ›› 2025, Vol. 7 ›› Issue (4): 532-542.doi: 10.19788/j.issn.2096-6369.100063

• 数据资源 • 上一篇    下一篇

禽腺病毒多重TaqMan荧光定量PCR检测数据集

王利丽1(), 师延峰2, 赵海明2, 李富强1, 崔松奇2, 郭笑然1, 李娥2, 孙慧中1, 李鹏飞3, 任卫科1, 田春利2, 鄢明华1,*()   

  1. 1.天津市农业科学院 畜牧兽医研究所/国家动物疫病天津观测实验点/天津市畜禽分子育种与生物技术重点实验室/天津市畜禽健康养殖工程技术中心, 天津 300381
    2.豪威生物科技有限公司, 天津 301709
    3.西青区农业综合行政执法支队, 天津 300380
  • 收稿日期:2025-05-20 修回日期:2025-08-07 出版日期:2025-12-26 发布日期:2025-12-26
  • 通讯作者: 鄢明华,E-mail:yanmh81971@163.com
  • 作者简介:王利丽,E-mail:wangll20035@163.com
  • 基金资助:
    中央级公益性科研院所基本科研业务费院级统筹项目:动物疫病数据中心;天津市科技计划项目(23YDTPJC00050);畜禽种质资源创新及高效繁育技术研究(2025ZYCX004)

Detection Dataset of Multiple Taq-Man Real-time PCR for Fowl Aviadenoviruses

WANG LiLi1(), SHE YanFeng2, ZHAO HaiMing2, LI FuQiang1, CUI SongQi2, GUO XiaoRan1, LI E2, SUN HuiZhong1, LI PengFei3, REN WeiKe1, TIAN ChunLi2, YAN MingHua1,*()   

  1. 1. Institute of Animal Science and Veterinary, Tianjin Academy of Agricultural Sciences/Tianjin Observation and Experiment Site of National Animal Health/Tianjin Key Laboratory of Animal Molecular Breeding and Biotechnology/Tianjin Engineering Research Center of Animal Healthy Farming, Tianjin 300381, China
    2. Haowei Biotechnology Co., Ltd, Tianjin 301709, China
    3. Agricultural Comprehensive Administrative Law Enforcement Detachment, Xiqing District, Tianjin 300380, China
  • Received:2025-05-20 Revised:2025-08-07 Published:2025-12-26 Online:2025-12-26

摘要:

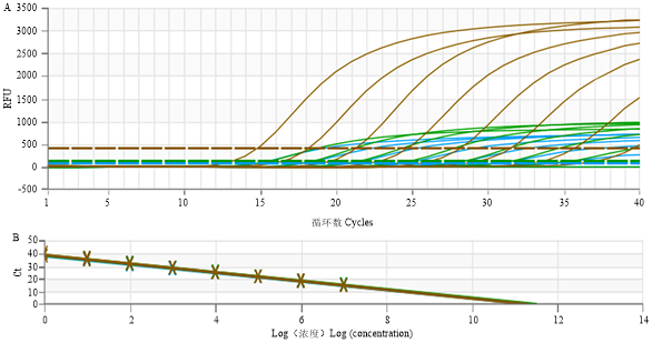
禽腺病毒自2015年在我国多省爆发后,给养禽业造成巨大损失。鸡群感染禽腺病毒后引起鸡心包积液-肝炎综合症、包涵体肝炎和肌胃糜烂等多种临床病症,且该病传播方式多样,发病没有明显的季节性,死淘率高(30%-80%),这些危害都给各养鸡场的生物安全防控水平提出了更多要求。如何保护鸡群体健康,保障养鸡场正常生产,是养鸡企业及相关科研单位关注的重点方向。本数据集包括临床样品采集数据、禽腺病毒12个血清型毒株的基因序列比较数据、荧光探针引物序列数据、禽腺病毒多血清型多重TaqMan荧光定量PCR检测方法数据及与行业标准同时检测161份临床样本数据集。数据显示此方法能特异性检测FAdV-4、FAdV-8a和FAdV-8b,与禽腺病毒其他血清型及NDV、AIVH9亚型、IBV等无交叉反应;最低检测值17 copies/μL;有良好的稳定性;与行业标准总阳性符合率为100.00%;天津及周边地区养鸡场禽腺病毒感染率偏低。本数据集可用于检测FAdV-4、FAdV-8a和FAdV-8b,为养鸡场禽腺病毒病的流行病学调查和早期快速筛查提供数据支撑,还可广泛用于养鸡场对其他疫病的生物安全防控技术的理论研究和实际应用。

数据摘要:

项目 描述
数据库(集)名称 禽腺病毒多重TaqMan荧光定量PCR检测数据集
所属学科 兽医学,家畜疾病学
研究主题 禽腺病毒多重TaqMan荧光定量PCR检测
数据时间范围 2023年-2024年
时间分辨率 1年
数据地理空间覆盖 天津及周边地区养鸡场
数据类型与技术格式 .fas,.pdf,.xlsx
数据库(集)组成 本数据集由5个数据组成,主要包括序列分析数据集、引物合成数据集、标准曲线扩增数据集、统计标准差平均值变异系数数据集、临床样品采集数据集。
数据量 1.51 MB
主要数据指标 保守基因分析、荧光探针引物信息、标准曲线扩增数据信息、组内及组间重复性扩增数据信息、临床样品数据信息
数据可用性 CSTR:17058.11.sciencedb.agriculture.00248;https://cstr.cn/17058.11.sciencedb.agriculture.00248
DOI:10.57760/sciencedb.agriculture.00248; https://doi.org/10.57760/sciencedb.agriculture.00248
经费支持 中央级公益性科研院所基本科研业务费院级统筹项目:动物疫病数据中心;天津市科技计划项目(23YDTPJC00050);畜禽种质资源创新及高效繁育技术研究(2025ZYCX004)。

关键词: 禽腺病毒, 多重荧光定量PCR, 快速筛查, 数据集

Abstract:

Several serotypes of fowl aviadenoviruses were the aetiologic agent of hydro-pericardium-hepatitis syndrome (HHS), inclusion body hepatitis (IBH) and gizzard erosion (GE) in chicken farms. Outbreaks of these had been documented in multiple provinces of China in 2015, causing significant economic losses. Moreover, this disease had diverse transmission modes with no obvious seasonality, which was a mortality rate reported to be 30%-80%. All these had imposed more requirements on the biosecurity prevention and control level of various chicken farms. How to protect the health of the chicken flock and ensure the normal production of chicken farms was a key focus for chicken farms and related scientific research institutions. This dataset included clinical sample collection data, gene sequence comparison data of 12 serotypes of fowl aviadenoviruses, fluorescent probe primer sequence data, reaction system optimization data for the Multiple Taq-Man real-time PCR detection of fowl aviadenoviruses, and a data of 161 clinical samples tested simultaneously with industry standards. Data showed that this method could specifically detect FAdV-4, FAdV-8a and FAdV-8b, with no cross-reactivity with other serotypes of fowl aviadenoviruses, as well as NDV, AIV H9 subtype, IBV, etc. It had a minimum detection limit of 17 copies/μL and good stability, and the comparison result between the established method and the trade standard was 100.00%. In addition, the infection rate of fowl aviadenoviruses in chicken farms in Tianjin and surrounding areas was relatively low. This dataset could be used for the detection of FAdV-4, FAdV-8a and FAdV-8b, providing data support for epidemiological investigation and early rapid screening of this disease in chicken farms. It could also be widely applied in the theoretical research and practical application of biosafety prevention and control technologies for other epidemic diseases in chicken farms..

Data summary:

Items Description
Dataset name Detection dataset of multiple Taq-Man real-time PCR for Fowl Aviadenoviruses
Specific subject area Veterinary Medicine, Veterinary Pathology of Domestic Animals
Research topic Detection of multiple Taq-Man real-time PCR for Fowl Aviadenoviruses
Time range 2023-2024
Temporal resolution One year
Geographical scope Chicken farms in Tianjin and its surrounding areas
Data types and technical formats .fas,.pdf,.xlsx
Dataset structure This dataset is composed of five data items, mainly including the sequence analysis dataset, the primer synthesis dataset, the standard curve amplification dataset, the dataset of statistical standard deviation, average value and coefficient of variation, and the clinical sample collection dataset.
Volume of dataset 1.51 MB
Key index in dataset Conserved gene analysis, fluorescence probe primer information, standard curve amplification data information, intra-group and inter-group repeatability amplification data information, clinical sample data information.
Data accessibility CSTR:17058.11.sciencedb.agriculture.00248; https://cstr.cn/17058.11.sciencedb.agriculture.00248
DOI:10.57760/sciencedb.agriculture.00248; https://doi.org/10.57760/sciencedb.agriculture.00248
Financial support The Overall coordinated project of the Institute of The Fundamental Research Funds for the Central Public Welfare Research Institutes: Animal Epidemic Disease Data Center; the Science and Technology Planning Project of Tianjin (23YDTPJC00050); Innovative Research and Efficient Breeding Technology of Livestock and Poultry Germplasm Project (2025ZYCX004).

Key words: fowl aviadenoviruses, the Multiple Taq-Man real-time PCR, rapid screening, Detection dataset